前回まではゲートドライバICの使い方の紹介をしてきましたが、今回はMOSFETのゲート部に取り付けるゲート抵抗の大きさの選び方のお話をしたいと思います。
一般的にはMOSFETのゲート抵抗は数Ωから数百Ω程度と割と広い範囲で言われています。もちろん、この範囲の広さには理由があって、回路の用途や仕様などで取り付けるゲート抵抗が大きく変わるからです。
通常ゲート抵抗が大きくなると、半導体のスイッチング速度が遅くなり、ゲート抵抗を小さくするとスイッチング速度は速くなります。このスイッチング速度がゲート抵抗を決める大きなカギとなります。まずは、スイッチング速度が速い場合と遅い場合のメリットデメリットを紹介しましょう。
スイッチング速度が速い場合
メリット
スイッチング損失が小さくなる
スイッチング周波数を高くできる
デッドタイムの設定時間を短くできる
デメリット
VOUT端子のアンダーシュートが大きくなる恐れがある
主回路に発生するサージ電圧が大きくなる(主にモータなどインダクタ成分のある負荷の場合)
出力にリンギングが発生しやすくなる
スイッチング速度が遅い場合
メリット
VOUT端子へのアンダーシュートが小さくなる
主回路に発生するサージ電圧が小さくなる
デメリット
デッドタイムの設定時間を長くする必要がある
スイッチング損失が大きくなる
スイッチング周波数を上げにくくなる
軽くまとめるとこのようなメリットとデメリットがあります。簡潔に言うと、極端にスイッチング速度が速くても遅くてもだめというわけです。この中でも特に注意しなければならないのが、デッドタイムの時間とスイッチング時間の関係です。デッドタイムの時間に対してスイッチング時間が遅い場合、ハイサイドとローサイドのMOSFETが同時にONになるタイミングができて、過大な電流が流れる恐れがあります。言葉だけではわかりにくいと思うので、実際にダメなパターンのゲート電圧波形を見てみましょう。
画像の黄色線がローサイド側のMOSFETのゲート電圧、水色線がハイサイド側のゲート電圧で縦の白線の内側がデッドタイムとなっております。
デットタイムは1usを入れていますが、デッドタイムの終わり(右側の白線)の時点ではローサイド側のゲート電圧が8Vぐらい残っていることがわかります。今回使用しているMOSFETのスレッショルド電圧は2V程度なので、デッドタイム終了時点でもローサイド側MOSFETがONになっていることは明らかです。逆にハイサイド側のMOSFETはONにし始めた(デッドタイム終了時)とほぼ同時にスレッショルド電圧を超えています。これによって、図のオレンジで示した時間はハイサイド側とローサイド側の両方のMOSFETが同時にONになっているというわけです。
このようにハイサイド側とローサイド側のMOSFETが同時にONになってしまうと、その間は過大な電流(貫通電流)がMOSFETに流れることとなり、大きな損失が発生するほか、最悪MOSFETが故障します。そのため、ハイサイドとローサイドの両方が同時にONになることは防ぐようにゲート抵抗を決めなければなりません。(少なくともパワー回路では)
今回はケースファンやステッピングを演奏する低圧のMOSFETを使用した場合で「ある程度のゆとりをもって貫通電流が流れない程度」のスイッチング時間とした場合のゲート抵抗の選定をしたいと思います。
今回はゲート抵抗を110Ω、47Ω、10Ωの場合のゲート電圧の波形とVOUT端子の波形を見て、そこからゲート抵抗の選定を行いたいと思います。
まずは、ゲート抵抗110Ωの場合から
※オシロのオフセットの設定ミス?で基準電位がちょっとずれているので、Vminが負電圧になっています。
波形からみて明らかにハイサイドと両サイドが同時にONになっていることが明らかですね。つまり、デッドタイム1μsに対してスイッチング速度が遅すぎるということです。結果、貫通電流が流れることにより大きな損失が発生し、MOFETの破損につながります。つまり、大きな問題があるというわけです。また、貫通電流の影響か何かで、MOSFETハイサイドの立ち上がり時のVOUT端子とゲート電圧にオーバーシュートが発生しています。
次にゲート抵抗が47Ωの場合です。
先ほどの110Ωの場合に比べると、ゲート電圧の立下り立ち上がりは速くなりました。ですが、この状態でもまだ、ハイサイドとローサイドが同時にONになって貫通電流が流れてしまう瞬間があります。貫通電流が流れる時間はかなり短くなったので、損失もそこまで大きくないとは言えますが、完璧とは言えないでしょう。
また、VOUT端子のハイサイド立ち上がり時のオーバーシュートも大幅に減少しています。
最後にゲート抵抗が10Ωの場合です。
先ほどの47Ωの場合に比べてゲート電圧の立下り立ち上がりはさらに速くなりました。今回の場合は、デッドタイムが終了する立下りの初めから1μs立った時点で、ゲート電圧は1V程度まで降下しており、ハイサイドとローサイドのMOSFETが同時にONになることはなくなりました。また、VOUT端子の波形を見ても特に、アンダーシュートは見られず、オーバーシュートはわずかにあるものの、大きさ的にも問題がないレベルと見れます。
110Ω、47Ω、10Ωの3種類の波形から、今回の条件であるMOSFETを「EKI04027」ゲートドライバを「L6384E」を用いたときのゲート抵抗の最適値を求めます。
貫通電流対策とVOUT端子のアンダーシュートの観点から、ゲート抵抗は3つのなかでは10Ωが最も良いと見れます。ゲート電圧の波形からゲート抵抗の最適な範囲としては10Ωから20Ω程度だと言えるでしょう。
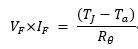
ゲート抵抗の値は、使用するMOSFETのゲート容量やスレッショルド電圧、ゲート駆動電源の電圧によって変動します。実際にゲート抵抗を選定する際にはこのことを考慮したうえで設計しなければなりません。MOSFETのゲート部はコンデンサの特性を持っていることから、MOSFETのゲート電圧の立下り波形は以下の式で近似できます。
この式である程度の近似はできますが、MOSFETのゲート部の内部抵抗やゲートドライバの最大電流などにより、ゲート電圧の計算値は低めに出てしまいます。(今回の条件ではオシロの波形に比べて、計算値は1~2V程度高めに出ています)MOSFETのゲート部の内部抵抗に関しては、上の式のゲート抵抗に足し合わせることで計算が可能ですが、ゲートドライバの最大電流の考慮はできません。(数式はあるかもしれないけど…)
また、ゲート容量については、ゲート電荷量とゲート電圧から計算を行い算出した方が、正しい値と考えられるため、ゲート電荷量から計算をしています。(MOSFETのデータシートのゲート容量はゲート電圧0V時の容量が書かれているため)
また、ゲート駆動電圧が今回とほぼ同じ場合は、ゲート抵抗はゲート容量に逆数倍にすればそこそこ良い値となるでしょう。
今回は、不明瞭な点が多いゲート抵抗の値の選定方法を紹介しました。ゲート抵抗はスイッチング速度の要求する条件によって大きく変わりますが、趣味でモータドライバ回路などを設計する場合は今回の条件(貫通電流が流れない程度のスイッチング速度)に近い場合も多いと思うので、ある程度の参考にはなったと思います。(小電力である信号用とかの場合は話が変わってくるとは思いますが…)
今回でゲート駆動関連のお話はいったん終了とし、次からはしばらくマイコン系のお話をしたいと思います。











































































































